HOME

Course Chapters

Calculator Fundamentals

Mathematics Review

Basic Concepts

Advanced Concepts


Section Tests

Pre-test

Post-test


Useful Materials

Glossary


Online Calculators

Redox Calculator

Kinetics Arrhenius Calculator

Thermodynamics Calculator

Nuclear Decay Calculator

Linear Least Squares Regression

Newton's Method Equation Solver

Compressibility Calculator

Units Conversion Calculator

Nomenclature Calculator


Related Information Links

Texas Instruments Calculators

Casio Calculators

Sharp Calculators

Hewlett Packard Calculators


Credits

Contact Webmaster


Balancing Equations


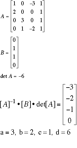
aFeCl2 + bNa3(PO4)---> cFe3(PO4)2 + dNaCl

The trick with this one is to treat the phosphate ion (PO4-3) as an element, and not break it into two individual elements.If you do that, you get:

Fe: 1a + 0b -3c = 0d
Cl: 2a + 0b + 0c = 1d
Na: 0a + 3b + 0c = 1d
(PO4): 0a + 1b - 2c = 0d

Note that you do not have a square matrix for Matrix A. Following the regular procedures, you should get a 4 x 3 matrix (four rows, three columns). You can make it square without changing the algorithm by adding a column of 1's at the end of the matrix.


Go to: Back to Balancing Equations, Mathematics Index,


Developed by
The Shodor Education Foundation, Inc.
in cooperation with the Department of Chemistry,
Appalachian State University

Copyright © 1998
Last Update:
Please direct questions and comments about this page to
WebMaster@shodor.org