ChemViz

Overview

Bohr Radius


Home

Bohr Radius

Overview Materials

  • Computational Science
  • Computational Chemistry
  • Basic Quantum Chemistry
  • Schrodinger's Equation
  • Atomic Units
  • The Born Oppenheimer Approximation
  • The Hartree Fock Approximation

  • Key Points

    Readings

  • Overview
  • Atomic Orbitals

    Lab Activities

  • Z-matrices
  • Basis Sets
  • Geometry Optimizations
  • Ionization Energies

    Support Materials

  • Interactive Tools
  • Glossary of Terms
  • Quick Guide to DISCO Output File

    Developers' Tools

  • What's New?
  • Discussion Board ONMOUSEOVER="window.status='Email Archives'; return true">Email Archives
  • Team Members
  • Email the Group

    Related Links

  • ChemViz
  • Computational Chemistry
  • SUCCEED's Computational Chemistry

  • Contact Webmaster

  • Bohr, a scientist, was trying to understand why atoms do not collapse, as well as understand the various aspects of experimental spectra and the nature of light. Using Rydberg's equation which described the frequencies in a spectrum, Bohr was looking to understand atomic structure using the principles of classical theories of physics.

    The first issue is determining total energy in classical mechanics. Classical mechanics suggests that for a charged particle (in this case, the electron) orbiting an oppositely-charged particle (the nucleus). Rutherford developed the equation:

    Coulomb force (centripetal force)= centrifugal force

    The angular momentum (omega) is defined as the velocity v divided by the radius r, so the equation becomes:

    The total energy of any system is defined as:

    W (total energy) = K (kinetic energy) + V (potential energy)

    The equation for potential energy is:

    Kinetic energy is expressed in the classical form:

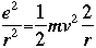
    The equation for the Coulomb (centripetal) force is:

    We can rewrite this equation:

    The total energy W is now:

    One of the ideas generated by Bohr and others was to compare this equation with the equation that describes total energy in the then-fledgling quantum theory:

    The following graphic derives the value of the radius r by setting the quantum energy equation equal to the classical energy equation:

    For the first orbit where n=1, the radius r is called the Bohr radius, and is symbolized as a0:

    Return to Basic Quantum Chemistry
    Return to Overview of Schroëdinger's Equation


    Developed by
    Shodor logoThe Shodor Education Foundation, Inc.
    in cooperation with the
    National Center for Supercomputing Applications

    Copyright © 1999